Advanced Engineering Mathematics (AEM): Transform Methods, Complex Analysis, and Systems

$69.00

Advanced Engineering Mathematics is a compact digital ebook covering the core mathematical techniques commonly taught in advanced engineering mathematics courses.

The material presents a structured treatment of Fourier series and spectral representation, followed by the Fourier transform and its use in linear time-invariant systems. Laplace transform methods are developed for solving differential equations and analyzing system behavior in the transform domain. Convolution, stability, and system response are introduced as fundamental mathematical operations and properties.

The book also includes a focused introduction to complex analysis, covering analytic functions, residue methods, contour integration, real integrals, and conformal mapping. These topics are developed as mathematical tools that support transform methods and advanced problem solving.

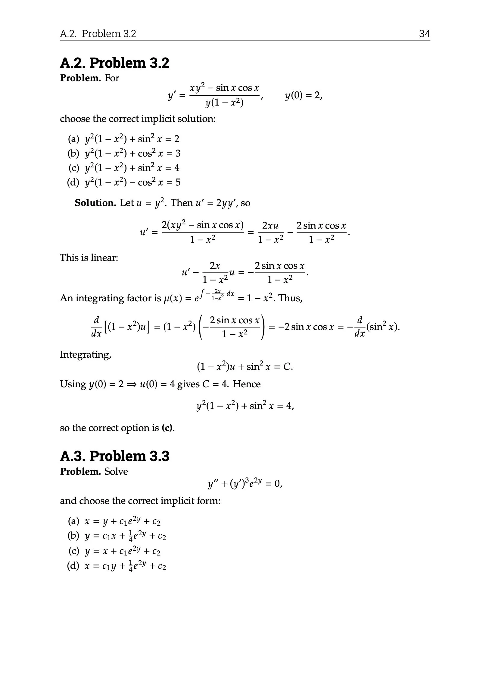
The final sections integrate the material through mixed advanced problems and exam-oriented strategies. Worked examples are fully developed, and problem sets are aligned with the expectations of advanced engineering mathematics coursework and examinations.

This ebook is intended for students and engineers with prior exposure to calculus and linear algebra who are seeking a concise and organized presentation of advanced engineering mathematics techniques.

What This Book Is For

  • Senior undergraduate and graduate ECE students

  • Engineers working in signal processing, control, and systems

  • Candidates preparing for advanced engineering entrance or qualification exams

  • Researchers seeking a compact but rigorous mathematical reference

Key Features

  • Unified coverage of Fourier, Laplace, and complex analysis methods

  • System-level interpretation of mathematical tools

  • Fully worked examples and exam-style problems with solutions

  • Consistent notation and typography, enforced by a custom LaTeX class

  • One-page A4 exam formula sheet for rapid review

  • MATLAB/Octave code appendix for computational reinforcement

Contents Overview

  • Fourier Series and Spectral Representation

  • Fourier Transform and LTI Systems

  • Laplace Transform and Differential Equation Solving

  • Convolution, Stability, and System Response

  • Complex Analysis and Residue Methods

  • Real Integrals and Conformal Mapping

  • Mixed Advanced Problems and Exam Strategies

Format

  • Digital textbook (PDF)

  • High-resolution mathematical typesetting

  • Optimized for screen and print

Licensing & Use

This product is licensed for individual academic and professional use.
For institutional licensing or course adoption, please contact Maxdi Research.

About the Author

Mahdi Haghzadeh, PhD, is a researcher and engineer working at the intersection of mathematics, systems theory, and advanced computation. His work spans engineering mathematics, signal analysis, and quantum analog computing.

Advanced Engineering Mathematics is a compact digital ebook covering the core mathematical techniques commonly taught in advanced engineering mathematics courses.

The material presents a structured treatment of Fourier series and spectral representation, followed by the Fourier transform and its use in linear time-invariant systems. Laplace transform methods are developed for solving differential equations and analyzing system behavior in the transform domain. Convolution, stability, and system response are introduced as fundamental mathematical operations and properties.

The book also includes a focused introduction to complex analysis, covering analytic functions, residue methods, contour integration, real integrals, and conformal mapping. These topics are developed as mathematical tools that support transform methods and advanced problem solving.

The final sections integrate the material through mixed advanced problems and exam-oriented strategies. Worked examples are fully developed, and problem sets are aligned with the expectations of advanced engineering mathematics coursework and examinations.

This ebook is intended for students and engineers with prior exposure to calculus and linear algebra who are seeking a concise and organized presentation of advanced engineering mathematics techniques.

What This Book Is For

  • Senior undergraduate and graduate ECE students

  • Engineers working in signal processing, control, and systems

  • Candidates preparing for advanced engineering entrance or qualification exams

  • Researchers seeking a compact but rigorous mathematical reference

Key Features

  • Unified coverage of Fourier, Laplace, and complex analysis methods

  • System-level interpretation of mathematical tools

  • Fully worked examples and exam-style problems with solutions

  • Consistent notation and typography, enforced by a custom LaTeX class

  • One-page A4 exam formula sheet for rapid review

  • MATLAB/Octave code appendix for computational reinforcement

Contents Overview

  • Fourier Series and Spectral Representation

  • Fourier Transform and LTI Systems

  • Laplace Transform and Differential Equation Solving

  • Convolution, Stability, and System Response

  • Complex Analysis and Residue Methods

  • Real Integrals and Conformal Mapping

  • Mixed Advanced Problems and Exam Strategies

Format

  • Digital textbook (PDF)

  • High-resolution mathematical typesetting

  • Optimized for screen and print

Licensing & Use

This product is licensed for individual academic and professional use.
For institutional licensing or course adoption, please contact Maxdi Research.

About the Author

Mahdi Haghzadeh, PhD, is a researcher and engineer working at the intersection of mathematics, systems theory, and advanced computation. His work spans engineering mathematics, signal analysis, and quantum analog computing.